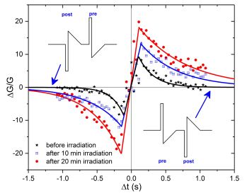
Publication Alert: Congratulations to Harry and the team for this exciting new publication that demonstrates strategies to mitigate cycle-cycle-variation in memristor-based neural networks. Importantly, the work also identifies an optimum network size for accuracy beyond which any additional neuron brings diminishing returns in accuracy but will increase energy consumption.
Mitigating cycle-to-cycle variation in memristor-based neural networks—bigger is not always better, Journal of Physics D: Applied Physics, Volume 59, Number 13
Special Issue on Memristive Devices for Neuromorphic Computing
Citation Harry Burton et al 2026 J. Phys. D: Appl. Phys. 59 135304, DOI 10.1088/1361-6463/ae571a

——————————————————————————————————————————–

All smiles in the lab today!
——————————————————————————————————————————–
Grant Funded ! Happy to find out that our SEED project “Novel Nano-cell Hydrogen Production” has been funded. A big thank you to our team of experts across Physics, Chemistry, Materials Science, Engineering, and the Nanoscale and Microscale Research Centre (nmRC) to tackle this central challenge in clean-energy research. Special thanks to Daniel Whitt for helping to lead this project.
Physics: Dr Neil Kemp, Daniel Whitt, Craig Venables, Dr Chris Mellor
Engineering: Prof. David Grant, Dr Zakhar Kudrynski, Dr Timothy Cooper
Chemistry: Dr Graham Rance
Nanoscale and Microscale Research Centre: Dr Richard Cousins
Electrical and Electronic Engineering: Dr Sidahmed Abayzeed
——————————————————————————————————————————–
Very excited and happy to host the mini-symposium “Emerging Devices and Applications in Neuromorphic Computing“. A big thank you to all our invited speakers!

——————————————————————————————————————————–
Happy to be attending the NeuroWare kick-off meeting held at Armourers’ Hall in central London.
NeuroWare: The UK Innovation and Knowledge Centre in Neuromorphic Computing Hardware

——————————————————————————————————————————–
Excited to attend the NeuMat (Neuromorphic Materials and Devices for Future AI Hardware) kick-off meeting at Trinity College Cambridge.
What an incredible place to hold the meeting! A big thank you and congratulations to the organizers.





Craig Venables presenting his work at NeuMat!
——————————————————————————————————————————–
Congratulations to Michael Gater and our collaborators for Best Student Poster at MEMRISYS 2025.
Linking Fundamental Circuit Theory and Experiment with Memristors: Extracting Information from Bode Plots
Michael Gater, Rodrigo Picos, Carola De Benito, Stavros Stavrinides, Ali Adawi, Neil Kemp and Leon Chua

——————————————————————————————————————————–
Happy to announce the start of our new 3-year project, “Optical Memristors for Accelerated Neuromorphic Edge Computing Vision Applications“, funded by the AFOSR and EOARD. We held our kick-off meeting on Tuesday 26th August. Many thanks to Grant Thomas and Christopher Allen of AFOSR, and AFRL scientists Ajit Roy and Sabyasachi Ganguli. We look forward to exciting new research investigations and fruitful collaborations.
——————————————————————————————————————————–
Presenting our work at Nanotexnology 2025 – Thessaloniki



——————————————————————————————————————————–

Daniel Whitt giving his invited talk at PRiME 2024 (Honolulu) on his thesis topic “Development of a New Experimental Procedure for Investigating the Dielectric Behaviour of Water Confined within Nanocavities” – excellent job Dan! (Oct 2024)
——————————————————————————————————————————–
Our latest paper accepted for publication in ACS Applied Materials and Interfaces. The work was a collaborative effort across three institutions; Kings College London, University of Hull and University of Nottingham.
Jaafar AH, Al Habsi, SKS, Braben T, Venables C, Francesconi MG, Stasiuk GJ, Kemp NT “Unique Coexistence of Two Resistive Switching Modes in a Memristor Device Enables Multifunctional Neuromorphic Computing Properties” ACS Appl. Mater. Interfaces 16, 33, 43816–43826 (2024)

——————————————————————————————————————————–
Mike Gater awarded a 3-week Scientific Mission (STSM) by the eCost action (MultiChem -CA20129) to work with Prof. Rodrigo Picos (Universitat de les Illes Balears) on the development of low-cost memristor radiation sensors!
——————————————————————————————————————————–

The Nottingham section of the group doing the walk around the lake at our weekly coffee session! (August 2024)
——————————————————————————————————————————–

Ayoub and Mike presenting their talks at NanoArch23! Great job guys!
NanoArch23!

Then off to the famous Dresden Christmas Market for Gluhwein and Stollen!
——————————————————————————————————————————–
Two papers accepted for presentation in NanoArch23. Come and see us in Dresden 18-20th Dec (https://nanoarch.ee.duth.gr/)
- Ayoub H. Jaafar, Neil T. Kemp, “Optically Controlled Memristor Using Hybrid ZnO Nanorod/Polymer Material“
- Michael A. Gater, Ali A. Adawi, Neil T. Kemp “Enhanced Switching in Solid Polymer Electrolyte Memristor Devices via the addition of Interfacial Barriers and Quantum Dots“
—————————————————————————————————–

—————————————————————————————————–
We welcome 2 more people to our group:
- Sean Lethbridge as postdoc, working on the development of Quantum Optical Switching Devices
- Thomas Braben starting a new PhD project on “Artificial Synapses with Dual Opto-Electronic control for Ultra-Fast Neuromorphic Computer Vision“.
—————————————————————————————————–
Our 25 page review article on “Printed and Flexible Organic and Inorganic Memristor Devices for Non-volatile Memory Applications” is published in the Journal of Physics D: Applied Physics.

—————————————————————————————————–
Harry Burton’s paper on “Memristor-based LSTM neuromorphic circuits for offshore wind turbine blade fault detection” is published in IEEE.
—————————————————————————————————–
Dr Neil Kemp travels to Dresden (Germany) as part of an expert review panel assessing grants for the DFG Priority Programme MemrisTec (Memristive Devices Toward Smart Technical Systems, SPP 2262).
—————————————————————————————————–
Come and join us at NANOARCH 2023!
NANOARCH is the annual cross-disciplinary forum for the discussion of novel post-CMOS and advanced nanoscale CMOS directions. The symposium seeks papers on innovative ideas for solutions to the principal challenge faced by integrated electronics in the 21st century
Call for Papers: https://nanoarch.ee.duth.gr/

—————————————————————————————————–

Meeting old friends and new at the conference on “Advances in Neuromorphic AI and Electronics 2023”, Department of Physics, School of Science at Loughborough University, June 26th – June 29th, 2023 (left to right -> Radu Sporea, Michael Gater, Ronald Tetzlaff, Neil Kemp)
—————————————————————————————————–

Michael Gater presenting his working on “Modulation of multilayer memristors via electronic back gating and polymer barriers” at the conference on “Advances in Neuromorphic AI and Electronics 2023”, Department of Physics, School of Science at Loughborough University, June 26th – June 29th, 2023
—————————————————————————————————-
Dr Kemp joins leading experts across the UK to discuss with UKRI the future of Neuromorphic Computing in the UK.
—————————————————————————————————–
Dr Kemp interviewed by New Scientist to comment on a recent published article: Memcomputer chips could solve tasks that defeat conventional computers
—————————————————————————————————–
Dr Kemp interviewed by UKRI to comment on the Neuromorphic Computing Landscape in the UK
—————————————————————————————————–
Harry Burton presenting his talk at the IEEE conference ISCAS23 in Monterey, California

—————————————————————————————————–

Our group’s 1st mini colloquium in Nottingham covering topics on Optical and Pressure Sensitive Memristors, Nanocavities, and Photonic and Neuromorphic Computing. A fantastic series of talks followed by a meal at Nando’s and ten-pin bowling!
—————————————————————————————————–
Dr Kemp invited to give a talk at the workshop “Advances in Neuromorphic AI and Electronics 2023” at the Department of Physics, School of Science at Loughborough University, June 26th – June 29th, 2023
—————————————————————————————————–
Dr Kemp presents an invited talk at Loughborough University “A route to hierarchical control in artificial intelligent systems: memristors with optically tuneable STDP synaptic plasticity“, April 19th 2023
—————————————————————————————————–
Dr Kemp presents at the COSY e-COST action 1st General Meeting in Cadiz “From Nanogap Biosensors to Studying Molecules in Confined Systems“, 1-3 March 2023
—————————————————————————————————–

Harry Burton’s paper “Memristor-based LSTM neuromorphic circuits for offshore wind turbine blade fault detection” is accepted for ISCAS 2023 and he will be presenting it with a talk in Monterey, California. Huge congratulations on your first paper and also your recent and ongoing excellent work in the area!
—————————————————————————————————–
We welcome Craig Venables as a new PhD student to the group in Nottingham, starting 1st Jan 2023. His 4-year position is funded by the Leverhulme Trust. Welcome aboard!
—————————————————————————————————–
New publication in ACS Applied Polymer Materials on the topic of “Optoelectronic Switching Memory Based on ZnO Nanoparticle/Polymer Nanocomposites”

—————————————————————————————————–
We welcome Raven Quinn and Michael Gater as new PhD students to the group in Nottingham, starting 1st Oct 2022. Raven will be working on integrating memristors with optical waveguides on Si chips and Michael will be exploring optical switching in 2-D materials.
—————————————————————————————————–
We welcome Dr Ayoub Hamdiyah to the group as a Postdoctoral Research Fellow to study new types of Optical Memristor Devices. His position is funded by a 5-year Leverhulme Trust project grant.
—————————————————————————————————–

Our new book chapter in “Memristor Computing Systems” Editors: Leon Chua, Ronald Tetzlaff and Angela Slavova Publisher: Springer
Gee A, Jaafar AH, Kemp NT “Optical Memristors: Review of Switching Mechanisms and New Computing Paradigms” Chapter 10, pg 219-244
—————————————————————————————————–

Mike Gater presenting our paper, “Capacitive effects and memristive switching in three terminal multilayered MoS2 devices” with authors M.Gater, A.M. Adawi and N.T. Kemp”, at ISCAS 22 (Austin, Texas)
—————————————————————————————————–
Several new Postdoc and PhD positions starting in 2022. See Jobs for more details.
—————————————————————————————————–

Collaboration with Prof. Jürgen König and Dr Philipp Stegmann on coupled spin switching in two molecule spin crossover systems. A new paper on this work has just been published in Phys. Rev. B “Statistical analysis of spin switching in coupled spin-crossover molecules”
—————————————————————————————————–
Exciting new collaboration with Dr Pedro Beltran-Alvarez et al results in an article published in the American Chemical Society journal, Pharmacology & Translational Science “Inhibition of Arginine Methylation Impairs Platelet Function”
—————————————————————————————————–
From the 1st of Sept 2021, Dr Kemp will be taking up a new appointment in the School of Physics and Astronomy at the University of Nottingham. Exciting times ahead!
—————————————————————————————————–
We welcome two new group members, Daniel Whitt and Harry Burton, who are both starting research PhDs funded by the Aura Doctoral Training Centre. Harry will be working on the development of neuromorphic sensor systems for real-time condition monitoring of wind turbine blades and Daniel will be investigating the development of more efficient forms of storing excess energy created by wind power. Best of luck in your research!
—————————————————————————————————–
Results from a large collaborative effort on the development of new types of optical memristors based on TiO2 nanorods is published in the Journal of Physical Chemistry Part C.
Jaafar AH, Al Chawa MM., Chen F, Kelly SM, Picos R, Tetzlaff R, Kemp NT “Polymer/TiO2 Nanorod Nanocomposite Optical Memristor Device”, J. Phys. Chem. C (2021)

——————————————————————————————————
New HEIF funded research project starts on the development of new types of Hydrogen Combustion Sensors! Best of luck everyone on this exciting new project. Helping the UK head towards Carbon Net Zero!
—————————————————————————————————–
Dr. Kemp is promoted to Reader in Physics. Congratulations!
—————————————————————————————————–
New collaborative research project with Prof. Ronald Tetzlaff (Technische Universität Dresden ) is funded by the Leverhulme Trust. The aim of the 5-Year program of research is to develop new approaches for smarter, faster, more energy efficient, brain-inspired neuromorphic computing based on highly parallel optical memristor networks.
—————————————————————————————————–
New invited review article is published in IEEE Sensors Journal.
Kemp NT “A Tutorial on Electrochemical Impedance Spectroscopy and Nanogap Electrodes for Biosensing Applications” IEEE Sensor Journal (2021), p1-12 (Sensors Tutorials: A Vigorous Dive into the Vast Sea of Sensor-Related Knowledge)

——————————————————————————————————
New 3-year EPSRC grant awarded to study the development of new Memcomputing Arrays for Computer Vision Applications.
——————————————————————————————————
New conference article showing evidence of nanoparticle migration in polymers under high electric fields:
Jaafar AH, Gee A, Hamza AO, Eling CJ, Bouillard J.-S, Adawi AM, Kemp NT “Evidence of Nanoparticle Migration in Polymeric Hybrid Memristor Devices” IEEE 2020 European Conference on Circuit Theory and Design (ECCTD), Sofia, Bulgaria
——————————————————————————————————
We welcome our new group members, Chris Carter and Mike Gater, who are both starting PhDs and Craig Venables, who will be doing an MSc (by research). All three will be working on developing new types of optical switching memristors for neuromorphic computing applications. Best of luck in your research!
——————————————————————————————————
Congratulations to Dr. Ayoub Jaafar and Dr. Alex Gee who having finished their PhD’s and have both secured postdoc positions at the University of Southampton and the University of Oxford, respectively. Well done to you both, it is very well deserved!
——————————————————————————————————
Look out for our new book chapter “Optical Memristors: Review of Switching Mechanisms and New Computing Paradigms” Alex Gee, Ayoub H. Jaafar, Neil T. Kemp, which will be coming out soon.
——————————————————————————————————

Our new article on a single spin crossover (SCO) molecule device is published in the Journal of Physical Chemistry (see “Multilevel Resistance Switching and Enhanced Spin Transition Temperature in Single and Double Molecule Spin Crossover Nanogap Devices“)
This work demonstrates spin-state dependent conductance switching in a unique, single-molecule spin crossover (SCO) device in which the SCO molecule is specifically tailored for surface deposition. In contrast to previously published work this paper uniquely demonstrates a temperature dependence of the switching mechanism. We also demonstrate an enhanced spin transition temperature compared to the bulk SCO material and multilevel resistance switching, signifying the presence of two SCO molecules across the junction. Behavior such as this, when controllable, could facilitate multi-level resistance switching and the development of ultra-small (single molecule) memory devices having more than two binary states.
——————————————————————————————————
Dr. Neil Kemp becomes a member of the Chua Memristor Centre (Dresden) – see https://cmc-dresden.org/members/neil-kemp/
——————————————————————————————————

New project commencing soon with Optalysys investigating the incorporation of optical memristors in Optical AI chips.
——————————————————————————————————

Exciting work by PhD student Alex Gee published in Nanotechnology detailing how to make “Nanoscale Junctions for Single Molecule Electronics Fabricated using Bilayer Nanoimprint Lithography combined with Feedback Controlled Electromigration”.
The paper then uses the approach to make a high conductance molecular bridge formed with 2 benzenethiol molecules.
(see doi.org/10.1088/1361-6528/ab6473)
——————————————————————————————————

Dr Kemp is awarded a 6-month senior visiting research fellowship at the Technische Universität Dresden (Germany). He will be working with Prof. Ronald Tetzlaff (Chair of the Fundamentals of Electrical Engineering and Director of the Chua Memristor Centre) to develop new optical memristor systems for neuromorphic computing applications.
——————————————————————————————————

New publication in IEEE Transaction on Nanotechnology. This work compares the different switching mechanisms in devices made with the same materials but having different nanostructure geometries. The article is entitled “Nanorods vs Nanoparticles: A Comparison Study of Au/ZnO-PMMA/Au Non-volatile Memory Devices showing the importance of Nanostructure Geometry on Conduction Mechanisms and Switching Properties”
(see DOI: 10.1109/TNANO.2019.2949759)
——————————————————————————————————
Stephen Wilkinson joins the team to work on the development of a new type of capacitive nanogap biosensor for the detection of hormones in rivers and streams.
——————————————————————————————————

New project working with Enertek International developing new types of Hydrogen Burners and Safety Devices.
——————————————————————————————————
Colloborative work with Dr Jia Min Chin and Dr Michael R. Reithofer on “Dynamic Electric Field Alignment of Metal–Organic Framework Microrods” results in a publication in the Journal of the American Chemical Society.
——————————————————————————————————

New publication in Carbon (IF 7.5) reporting on the first optically tuneable memristor device made with graphene oxide. The work importantly demonstrates both reversible and irreversible optical switching effects depending on whether the light is in the visible or UV electromagnetic spectrum. (read article here )
——————————————————————————————————
Nanowerk spotlight article on our Optical Memristor Research:

Learning in artificial synapses tuned by light
——————————————————————————————————
Our latest work on the development of Optical Memristors for Light-Tuneable Synaptic Learning has been published in Advanced Electronic Materials. In this work we demonstrate very large optical switching between two resistive memory states.
(see DOI:10.1002/aelm.201900197)
——————————————————————————————————
Our recent work on the development of a label-free nanogap capacitive biosensor has been published in PCCP. In this work we take advantage of a very small distance between metal electrodes to eliminate electrode polarization effects that normally produce very large parasitic capacitance.
(see DOI:10.1039/C8CP05510F).
——————————————————————————————————

Our recent work on reversible optical switching memristors with tunable STDP synaptic plasticity has been published in the journal Nanoscale.
Paper: http://pubs.rsc.org/en/content/articlepdf/2017/NR/C7NR06138B
The article has also received the following media attention.
News Article: https://www.nanowerk.com/spotlight/spotid=48464.php
——————————————————————————————————
Dr Neil Kemp travels to Dresden (Germany) as part of an expert review panel assessing grants for the DFG Priority Programme MemrisTec (Memristive Devices Toward Smart Technical Systems, SPP 2262).
—————————————————————————————————–
Come and join us at NANOARCH 2023!
NANOARCH is the annual cross-disciplinary forum for the discussion of novel post-CMOS and advanced nanoscale CMOS directions. The symposium seeks papers on innovative ideas for solutions to the principal challenge faced by integrated electronics in the 21st century
Call for Papers: https://nanoarch.ee.duth.gr/

—————————————————————————————————–

Meeting old friends and new at the conference on “Advances in Neuromorphic AI and Electronics 2023”, Department of Physics, School of Science at Loughborough University, June 26th – June 29th, 2023 (left to right -> Radu Sporea, Michael Gater, Ronald Tetzlaff, Neil Kemp)
—————————————————————————————————–

Michael Gater presenting his working on “Modulation of multilayer memristors via electronic back gating and polymer barriers” at the conference on “Advances in Neuromorphic AI and Electronics 2023”, Department of Physics, School of Science at Loughborough University, June 26th – June 29th, 2023
—————————————————————————————————-
Dr Kemp joins leading experts across the UK to discuss with UKRI the future of Neuromorphic Computing in the UK.
—————————————————————————————————–
Dr Kemp interviewed by New Scientist to comment on a recent published article: Memcomputer chips could solve tasks that defeat conventional computers
—————————————————————————————————–
Dr Kemp interviewed by UKRI to comment on the Neuromorphic Computing Landscape in the UK
—————————————————————————————————–
Harry Burton presenting his talk at the IEEE conference ISCAS23 in Monterey, California

—————————————————————————————————–

Our group’s 1st mini colloquium in Nottingham covering topics on Optical and Pressure Sensitive Memristors, Nanocavities, and Photonic and Neuromorphic Computing. A fantastic series of talks followed by a meal at Nando’s and ten-pin bowling!
—————————————————————————————————–
Dr Kemp invited to give a talk at the workshop “Advances in Neuromorphic AI and Electronics 2023” at the Department of Physics, School of Science at Loughborough University, June 26th – June 29th, 2023
—————————————————————————————————–
Our review article “Printed and Flexible Organic and Inorganic Memristor Devices for Non volatile Memory Applications” is submitted

—————————————————————————————————–
Dr Kemp presents an invited talk at Loughborough University “A route to hierarchical control in artificial intelligent systems: memristors with optically tuneable STDP synaptic plasticity“, April 19th 2023
—————————————————————————————————–
Dr Kemp presents at the COSY e-COST action 1st General Meeting in Cadiz “From Nanogap Biosensors to Studying Molecules in Confined Systems“, 1-3 March 2023
—————————————————————————————————–

Harry Burton’s paper “Memristor-based LSTM neuromorphic circuits for offshore wind turbine blade fault detection” is accepted for ISCAS 2023 and he will be presenting it with a talk in Monterey, California. Huge congratulations on your first paper and also your recent and ongoing excellent work in the area!
—————————————————————————————————–
We welcome Craig Venables as a new PhD student to the group in Nottingham, starting 1st Jan 2023. His 4-year position is funded by the Leverhulme Trust. Welcome aboard!
—————————————————————————————————–
New publication in ACS Applied Polymer Materials on the topic of “Optoelectronic Switching Memory Based on ZnO Nanoparticle/Polymer Nanocomposites”

—————————————————————————————————–
We welcome Raven Quinn and Michael Gater as new PhD students to the group in Nottingham, starting 1st Oct 2022. Raven will be working on integrating memristors with optical waveguides on Si chips and Michael will be exploring optical switching in 2-D materials.
—————————————————————————————————–
We welcome Dr Ayoub Hamdiyah to the group as a Postdoctoral Research Fellow to study new types of Optical Memristor Devices. His position is funded by a 5-year Leverhulme Trust project grant.
—————————————————————————————————–

Our new book chapter in “Memristor Computing Systems” Editors: Leon Chua, Ronald Tetzlaff and Angela Slavova Publisher: Springer
Gee A, Jaafar AH, Kemp NT “Optical Memristors: Review of Switching Mechanisms and New Computing Paradigms” Chapter 10, pg 219-244
—————————————————————————————————–

Mike Gater presenting our paper, “Capacitive effects and memristive switching in three terminal multilayered MoS2 devices” with authors M.Gater, A.M. Adawi and N.T. Kemp”, at ISCAS 22 (Austin, Texas)
—————————————————————————————————–
Several new Postdoc and PhD positions starting in 2022. See Jobs for more details.
—————————————————————————————————–

Collaboration with Prof. Jürgen König and Dr Philipp Stegmann on coupled spin switching in two molecule spin crossover systems. A new paper on this work has just been published in Phys. Rev. B “Statistical analysis of spin switching in coupled spin-crossover molecules”
—————————————————————————————————–
Exciting new collaboration with Dr Pedro Beltran-Alvarez et al results in an article published in the American Chemical Society journal, Pharmacology & Translational Science “Inhibition of Arginine Methylation Impairs Platelet Function”
—————————————————————————————————–
From the 1st of Sept 2021, Dr Kemp will be taking up a new appointment in the School of Physics and Astronomy at the University of Nottingham. Exciting times ahead!
—————————————————————————————————–
We welcome two new group members, Daniel Whitt and Harry Burton, who are both starting research PhDs funded by the Aura Doctoral Training Centre. Harry will be working on the development of neuromorphic sensor systems for real-time condition monitoring of wind turbine blades and Daniel will be investigating the development of more efficient forms of storing excess energy created by wind power. Best of luck in your research!
—————————————————————————————————–
Results from a large collaborative effort on the development of new types of optical memristors based on TiO2 nanorods is published in the Journal of Physical Chemistry Part C.
Jaafar AH, Al Chawa MM., Chen F, Kelly SM, Picos R, Tetzlaff R, Kemp NT “Polymer/TiO2 Nanorod Nanocomposite Optical Memristor Device”, J. Phys. Chem. C (2021)

——————————————————————————————————
New HEIF funded research project starts on the development of new types of Hydrogen Combustion Sensors! Best of luck everyone on this exciting new project. Helping the UK head towards Carbon Net Zero!
—————————————————————————————————–
Dr. Kemp is promoted to Reader in Physics. Congratulations!
—————————————————————————————————–
New collaborative research project with Prof. Ronald Tetzlaff (Technische Universität Dresden ) is funded by the Leverhulme Trust. The aim of the 5-Year program of research is to develop new approaches for smarter, faster, more energy efficient, brain-inspired neuromorphic computing based on highly parallel optical memristor networks.
—————————————————————————————————–
New invited review article is published in IEEE Sensors Journal.
Kemp NT “A Tutorial on Electrochemical Impedance Spectroscopy and Nanogap Electrodes for Biosensing Applications” IEEE Sensor Journal (2021), p1-12 (Sensors Tutorials: A Vigorous Dive into the Vast Sea of Sensor-Related Knowledge)

——————————————————————————————————
New 3-year EPSRC grant awarded to study the development of new Memcomputing Arrays for Computer Vision Applications.
——————————————————————————————————
New conference article showing evidence of nanoparticle migration in polymers under high electric fields:
Jaafar AH, Gee A, Hamza AO, Eling CJ, Bouillard J.-S, Adawi AM, Kemp NT “Evidence of Nanoparticle Migration in Polymeric Hybrid Memristor Devices” IEEE 2020 European Conference on Circuit Theory and Design (ECCTD), Sofia, Bulgaria
——————————————————————————————————
We welcome our new group members, Chris Carter and Mike Gater, who are both starting PhDs and Craig Venables, who will be doing an MSc (by research). All three will be working on developing new types of optical switching memristors for neuromorphic computing applications. Best of luck in your research!
——————————————————————————————————
Congratulations to Dr. Ayoub Jaafar and Dr. Alex Gee who having finished their PhD’s and have both secured postdoc positions at the University of Southampton and the University of Oxford, respectively. Well done to you both, it is very well deserved!
——————————————————————————————————
Look out for our new book chapter “Optical Memristors: Review of Switching Mechanisms and New Computing Paradigms” Alex Gee, Ayoub H. Jaafar, Neil T. Kemp, which will be coming out soon.
——————————————————————————————————

Our new article on a single spin crossover (SCO) molecule device is published in the Journal of Physical Chemistry (see “Multilevel Resistance Switching and Enhanced Spin Transition Temperature in Single and Double Molecule Spin Crossover Nanogap Devices“)
This work demonstrates spin-state dependent conductance switching in a unique, single-molecule spin crossover (SCO) device in which the SCO molecule is specifically tailored for surface deposition. In contrast to previously published work this paper uniquely demonstrates a temperature dependence of the switching mechanism. We also demonstrate an enhanced spin transition temperature compared to the bulk SCO material and multilevel resistance switching, signifying the presence of two SCO molecules across the junction. Behavior such as this, when controllable, could facilitate multi-level resistance switching and the development of ultra-small (single molecule) memory devices having more than two binary states.
——————————————————————————————————
Dr. Neil Kemp becomes a member of the Chua Memristor Centre (Dresden) – see https://cmc-dresden.org/members/neil-kemp/
——————————————————————————————————

New project commencing soon with Optalysys investigating the incorporation of optical memristors in Optical AI chips.
——————————————————————————————————

Exciting work by PhD student Alex Gee published in Nanotechnology detailing how to make “Nanoscale Junctions for Single Molecule Electronics Fabricated using Bilayer Nanoimprint Lithography combined with Feedback Controlled Electromigration”.
The paper then uses the approach to make a high conductance molecular bridge formed with 2 benzenethiol molecules.
(see doi.org/10.1088/1361-6528/ab6473)
——————————————————————————————————

Dr Kemp is awarded a 6-month senior visiting research fellowship at the Technische Universität Dresden (Germany). He will be working with Prof. Ronald Tetzlaff (Chair of the Fundamentals of Electrical Engineering and Director of the Chua Memristor Centre) to develop new optical memristor systems for neuromorphic computing applications.
——————————————————————————————————

New publication in IEEE Transaction on Nanotechnology. This work compares the different switching mechanisms in devices made with the same materials but having different nanostructure geometries. The article is entitled “Nanorods vs Nanoparticles: A Comparison Study of Au/ZnO-PMMA/Au Non-volatile Memory Devices showing the importance of Nanostructure Geometry on Conduction Mechanisms and Switching Properties”
(see DOI: 10.1109/TNANO.2019.2949759)
——————————————————————————————————
Stephen Wilkinson joins the team to work on the development of a new type of capacitive nanogap biosensor for the detection of hormones in rivers and streams.
——————————————————————————————————

New project working with Enertek International developing new types of Hydrogen Burners and Safety Devices.
——————————————————————————————————
Colloborative work with Dr Jia Min Chin and Dr Michael R. Reithofer on “Dynamic Electric Field Alignment of Metal–Organic Framework Microrods” results in a publication in the Journal of the American Chemical Society.
——————————————————————————————————

New publication in Carbon (IF 7.5) reporting on the first optically tuneable memristor device made with graphene oxide. The work importantly demonstrates both reversible and irreversible optical switching effects depending on whether the light is in the visible or UV electromagnetic spectrum. (read article here )
——————————————————————————————————
Nanowerk spotlight article on our Optical Memristor Research:

Learning in artificial synapses tuned by light
——————————————————————————————————
Our latest work on the development of Optical Memristors for Light-Tuneable Synaptic Learning has been published in Advanced Electronic Materials. In this work we demonstrate very large optical switching between two resistive memory states.
(see DOI:10.1002/aelm.201900197)
——————————————————————————————————
Our recent work on the development of a label-free nanogap capacitive biosensor has been published in PCCP. In this work we take advantage of a very small distance between metal electrodes to eliminate electrode polarization effects that normally produce very large parasitic capacitance.
(see DOI:10.1039/C8CP05510F).
——————————————————————————————————

Our recent work on reversible optical switching memristors with tunable STDP synaptic plasticity has been published in the journal Nanoscale.
Paper: http://pubs.rsc.org/en/content/articlepdf/2017/NR/C7NR06138B
The article has also received the following media attention.
News Article: https://www.nanowerk.com/spotlight/spotid=48464.php
——————————————————————————————————

